меню
Про університет
Університет сьогодні
Історія розвитку університету
Нормативна база
Керівництво університету
Ректорат
Вчена рада університету
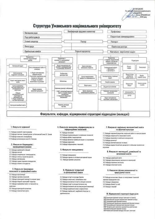
Структура університету
Символіка університету
Університетські вісті
Студентське містечко
Антикорупційна діяльність
Про реорганізацію
Публічна інформація
Перелік платних послуг, які надаються Уманським національним університетом
Запит на отримання публічної інформації
Звіти про публічну інформацію
Державні закупівлі
Звіти ректора
Фінансовий звіт
Фінансові документи
Штатний розпис
Реквізити для оплати
Діяльність
Освітній процес
Наукова та інноваційна діяльність
Виховна робота
Міжнародна діяльність
Спорт в університеті
Інформаційні та технічні партнери
Студентське самоврядування
Медіа
Відеогалерея
Фотогалерея
Електронні ресурси
Контакти
Вступнику
Про спеціальності
Підготовчі курси
Ліцензія та сертифікати
Студенту
Інформаційний пакет ЄКТС
Бакалаврські програми
Магістерські програми
Каталог елективних (вибіркових) дисциплін
Путівник для першокурсників УНУ
Гуртожитки
Електронний розклад
Розклад дзвінків
Навчальні аудиторії
Бази практик
Шкала оцінювання знань
Рада студентського самоврядування
Практичний психолог
Реєстр осіб для призначення академічної стипендії студента
Рейтинг наукової, громадської, спортивної та культурно-масової діяльності студента
Алгоритм проведення апеляції щодо семестрової оцінки
Випускнику
Працевлаштування студентів
Асоціація випускників
УНУ очима випускників
English
Уманський національний університет
Структура університету
Факультети
Факультет агрономії
Агрономія
Факультет плодоовочівництва, екології та захисту рослин
Садівництво та виноградарство
Захист рослин
Екологія
Біологія та біохімія
Факультет менеджменту
Менеджмент
Туризм і рекреація
Готельно-ресторанна справа
Факультет економіки і підприємництва
Економіка
Облік і оподаткування
Маркетинг
Фінанси, банківська справа, страхування та фондовий ринок
Торгівля
Комп'ютерні науки
Соціальна робота та консультування
Інженерно-технологічний факультет
Харчові технології
Агроінженерія
Прикладна математика
Факультет лісового і садово-паркового господарства
Садово-паркове господарство
Лісове господарство
Геодезія та землеустрій
Середня освіта. Фізичне виховання
Кафедри
Кафедра агрохімії та ґрунтознавства
Кафедра генетики, селекції рослин та біотехнології
Кафедра рослинництва
Кафедра загального землеробства
Кафедра біології
Кафедра екології та безпеки життєдіяльності
Кафедра захисту і карантину рослин
Кафедра овочівництва
Кафедра плодівництва і виноградарства
Кафедра української та іноземних мов
Кафедра менеджменту
Кафедра соціально-гуманітарних і правових дисциплін
Кафедра підприємництва та бізнес-технологій
Кафедра туризму та готельно-ресторанної справи
Кафедра економіки
Кафедра маркетингу
Кафедра обліку і оподаткування
Кафедра фінансів, банківської справи та страхування
Кафедра прикладної інженерії та охорони праці
Кафедра інформаційних технологій
Кафедра агроінженерії
Кафедра харчових технологій
Кафедра математики і фізики
Кафедра лісового господарства
Кафедра садово-паркового господарства
Кафедра фізичного виховання
Спортивні відділення університету
Кафедра геодезії, картографії і кадастру
Військова підготовка
Коледжі
Агротехнічний коледж
Ананьївський аграрно-економічний коледж
Городищенський коледж
Тальнівський будівельно-економічний коледж
Тальянківський агротехнічний коледж
Чигиринський економіко-правовий коледж
Шевченківський коледж
Профспілковий комітет
Навчально-виробничий відділ
Наукові лабораторії
Відділи та підрозділи
Центр професійно-кар'єрної орієнтації та доуніверситетської підготовки
Навчальний відділ
Аспірантура та докторантура
Відділ інтелектуальної власності, комерціалізації та трансферу технологій
Центр міжнародної освіти та співпраці
Практичний психолог університету
Профілактика синдрому професійного вигорання
Навчально-консультаційний центр "ІПОД"
Інформаційно-обчислювальний центр
Канцелярія
Відділ кадрів
Бухгалтерська служба
Відділ моніторингу якості освіти
Сфера обслуговування
Служба охорони
Кафе "Студентське"
Адміністративно-господарська частина